反転形DC/DCコンバーターの設計(6)Mode IIとリップル電圧:たった2つの式で始めるDC/DCコンバーターの設計(20)(1/2 ページ)
チョーク電流連続いう制約条件下でキャパシターへの充電期間tcがtc<toffとなるMode IIについて説明するとともに、リップル電圧についても検討します。
前回はチョーク電流連続という制約条件下でキャパシターの充電期間tcがコンバーターのオフ期間toffと等しく(tc=toff)なる、いわゆる教科書的な動作のMode Iについて説明し、リップル電圧と平滑キャパシターに流れるリップル電流の各値についても動作波形に基づいて説明しました。
しかし、負荷電流がMode Iの範囲から減少するとチョーク電流連続というMode Iの制約条件下でありながらtcがtoffよりも短く(tc<toff)なる動作状態に移行します。本章ではこの動作状態をMode IIと呼びます。
今回はこのMode IIの動作とリップル電圧について動作波形を基に説明します。
ここで使用する記号と定義は次の通りです。
tc:キャパシター充電時間 ton:コンバーターオン期間 toff:コンバーターオフ期間
ILP:チョーク電流の最大値 L:チョークL1のインダクタンス値 IL:チョーク電流
Iin:入力電流(DC) Vcc:入力電圧 Vo:出力電圧
Io:出力電流(DC) Po:出力電力 RL:負荷抵抗
Mode IIのリップル電圧の図式解法
Mode IIは図1に示すようにtcがtoffより短く、かつチョーク電流は連続的に流れている状態です。ここではこのモード時のリップル電圧を図式解法で求めます。
Mode IIのキャパシター放電波形(図1中の灰色領域)は五角形なので放電電流の面積(=Q)を計算で求めると式が複雑になります。ここではキャパシターの充電波形(図1中の水色三角形領域)からリップル電圧を求めます。
チョーク電流連続モードですからチョーク電流ILはtoff期間中に1式のΔIだけ変動します。
ここでtoff期間中のILの平均値をIL0とし、このILOを1周期にわたって平均すると負荷電流Ioと等しくなります。Ioとの関係で表せばIL0×(1−δ)=Ioです。ですから図1から分かるようにチョーク電流の最大値ILPはこのIL0にΔIの1/2を加えた2式になります。
このILPからターンオフと同時に
の傾きでILは減少し、時刻tcでILがIoに達すると同時にキャパシターC1への充電が終わります。この時のチョーク電流の変化幅ΔIpは(ILP−Io)です(図1)。
ΔIとΔIpは比例関係(ΔI/toff=ΔIp/tc)ですからΔIpは次の3式に置き換えられます。
この3式にILPを表す2式を代入すると次の4式が得られます。
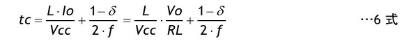
この4式をtcについて解くと5式が得られます。
この5式に、
の各値を代入すると6式になります。
計算例
6式にL=55.5μH、Io=0.2A、Vcc=10V、δ=0.333、f=100kを代入すると
となりシミュレーションから得られた図2(b)の4.41μsとほぼ一致します。
またIo=0.6Aの時、tc=6.67μs(=toff)になりMode I、IIの境界状態になります。
Copyright © ITmedia, Inc. All Rights Reserved.


