3種のDC/DCコンバーターのまとめ(2)ダイオードの選定&Mode IIについて:たった2つの式で始めるDC/DCコンバーターの設計(23)(3/4 ページ)
今回はダイオードの選定について説明するとともに、チョーク電流連続でも平滑キャパシターへのエネルギー供給期間が短くなるMode IIについて説明します。
2.Mode IIの境界電流
ここで使用する記号と定義は前回と同じく次の通りです。
tc:キャパシター充電時間 ton:コンバーター・オン時間 toff: コンバーター・オフ時間
δ:tonの時比率 1-δ:toffの時比率 f:コンバーター動作周波数
IL:チョーク電流 ILP:チョーク電流の最大値 ΔIp:チョーク電流変化幅
L:チョークのインダクタンス値 Vo:出力電圧 Vcc:入力電圧
Io:出力電流(DC) Io1:Mode I、Mode IIの境界電流 Io2:不連続臨界電流
Mode IIはオンーオフ型DC/DCコンバーターがチョーク電流連続、かつtc<toffで動作するモードです。このモードはtoff期間中にチョーク電流ILが直線的に減少することに起因し、toff終了時にチョーク電流ILが負荷電流Ioを下回ると平滑キャパシターCへの充電ができなくなるモードを生じます。ですからキャパシターCへの充電がton期間中に行われる降圧型コンバーターには原理的にこのモードが存在しません。
Mode IIにおける各特性値を表2に示します。表2のリップル電圧の式に現れる昇圧型の(Vo−Vcc)の項はtoff期間にチョークに誘起される電圧そのものであり、反転型では出力電圧Vo相当します。両者の式は形が異なりますが基本的に同じことを表しています。
注)Mode IIに対して、多くの資料に記載されている通常の動作モードを本資料ではMode Iと称しています。
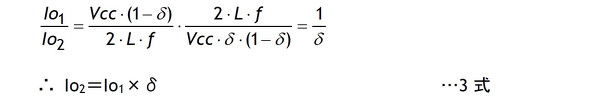
①項のモード II境界電流Io1と④項の不連続モード臨界電流Io2の比を採ると3式のようにδのみに左右される一定の比率であることが分かります。
このように両者の間には密接な関係があり、不連続臨界電流Io2が決まればMode II境界電流Io1が自動的に決まります。しかし、実際の設計に当たって設計者が意識して設定するのは多くの場合、不連続臨界電流Io2です。ここで取り上げたMode II境界電流Io1を意識して設定することは少ないでしょう。
コンバーター自身の周波数特性(過渡応答特性)も電流不連続モードを境に特性が変わるのでこの面からもMode IIの存在を考慮に入れる必要は少ないと言えます。
Copyright © ITmedia, Inc. All Rights Reserved.

