反転形DC/DCコンバーターの設計(5)連続モードのリップル電圧計算:たった2つの式で始めるDC/DCコンバーターの設計(19)(2/3 ページ)
今回はチョーク電流連続でキャパシターへの充電期間tcがtc=toffとなるMode I動作時のリップル電圧とキャパシターに流れるリップル電流の計算の仕方について説明していきます。
キャパシターC1のリップル電流
キャパシターC1の電流波形は図2に示すように方形状の放電電流と台形状の充電電流の合成波形ですがその波形は図3に示す各成分に分解できます。ここでは各成分の実効値を2乗の形で求めた後に合算(=2乗和)してリップル電流を求めます。
①オン時:Ir(ON)はオン時間中にC1から負荷に供給される電流です。キャパシターの疑似定電圧性によってC1の電圧は定電圧性と見なせるためIr(ON)は方形波になります。
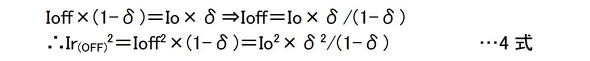
②オフ時:Ir(OFF)はオフ時にC1を充電する電流のDC成分であり、充放電電荷のバランスを元に計算します。
③三角波領域(図3で水色で示した領域)の成分Ir(C)
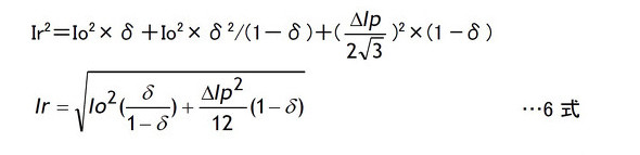
④総合のリップル電流Irは各成分の二乗和の平方根です。
6式を見るとキャパシターC1のリップル電流Irは出力電流IoとΔIpに影響されることが分かります。
ですが第2項のΔIpは
なのでIoは関係していません。結局Irはδが一定であればIo(MAX)の条件で求めればよいことが分かります。次回説明する予定のMode II時のリップル電流は当然ながらIoが最大値Io(MAX)ではないのでMode I時のリップル電流を超えることはありません。
具体的な値の一例としてL=55.5μH、Io=0.6A(RL=8.33Ω)、Vcc=10V、
δ=0.333、f=100kHz時のリップル電流を計算します。
計算値 :ΔIp=Vcc/L×ton=10/55.5μH×3.33μs=0.6A
⇒Ir=√(0.62×0.333/0.667+0.62/12×0.667)=0.447Arms
シミュレーション:446.66mArms
同じ条件でIo=1.5A(RL=3.33Ω)に増加させると
計算値 :Ir=1.07Arms
シミュレーション:Ir=1.0655Arms
となり両者は良好な一致を見せています。
Copyright © ITmedia, Inc. All Rights Reserved.

