メディア

サブハーモニック発振(2)発生防止策たった2つの式で始めるDC/DCコンバーターの設計(26)(2/3 ページ)

» 2026年02月26日 11時00分 公開

スロープ補償の最小補償量

 次に必要な最小補償量について考えます。
 図2はスロープ補償を含む誤差信号波形と電流波形が交差する交点付近の拡大図です。図中の破線は+変動を生じた場合の波形であり実線の基準波形からΔtだけ進んでいます。
 図2のtoff時の破線波形は実線波形から電流変化に合わせて並行移動したものです。
 これから最低限度必要な補償量はtoff期間中の電流変動分ΔI’が初期の電流変化分ΔIと等しくなる時と分かります。図2はその臨界条件(ΔI=ΔI’)で描画しています。

図2 図2:臨界補償量の検討

最小補償量の計算

 1式は任意の1次の線分を表す一般式であり、この式に各線分の係数aiと固有座標を代入して各線分の方程式を決めていきます。

1式

 補正直線である線分3の傾斜(−a3)が対策として必要なので傾き−a3を次の手順で求めていきます。
 計算の簡略化のため、実線波形のピーク点(赤丸)を基準座標(0,0)とし、この波形のton時、toff時の傾きをそれぞれa1、−a2とします。なお−a3は求める補正直線の傾きです。

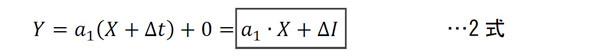
①破線の線分1の方程式を求めます。傾きa1=ΔI/Δt、通過座標はXi=ーΔt、Yi=0です。

2式

②破線の線分2の方程式を求めます。傾きは実線と同じ−a2、Y方向は前述の通りΔI’=ΔIと仮定していますから通過座標はXi=0、Yi=−ΔIです。

3式

2式3式を連立で解いて線分1,2の交点(青丸)の座標(X1,Y1)を求めます。

4式

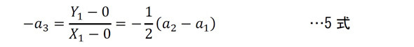
④補正直線である線分3の傾斜−a3は赤丸座標(0,0)と青丸座標(X1,Y1)間の傾斜なので5式で求めます。

5式

5式の傾きの係数a1、a2は時比率δによって変化(a1∝1/δ,a2∝1/(1−δ))します。
 δの影響を軽減するにはδ>0.5ではa2の影響が大きいことに着目し、極限値であるδ→1を考えます。この時 a1→1、a2→∞です。ですから近似式としてa2が支配的とした6式が成り立ちます。

6式

 7式からδに左右されない最小のスロープ補償量(−a3)は次のようになります。

7式

Copyright © ITmedia, Inc. All Rights Reserved.

特別協賛PR
スポンサーからのお知らせPR
Pickup ContentsPR
Special SitePR
あなたにおすすめの記事PR

RSSフィード

公式SNS

EDN 海外ネットワーク

All material on this site Copyright © ITmedia, Inc. All Rights Reserved.
This site contains articles under license from AspenCore LLC.