メディア

反転形DC/DCコンバーターの設計(7)チョーク電流不連続時のリップル電圧計算たった2つの式で始めるDC/DCコンバーターの設計(21)(1/4 ページ)

今回はチョーク電流が不連続になった時のリップル電圧の計算について説明します。

» 2025年09月30日 11時00分 公開

 前回、チョーク電流はMode Iと同様に連続ではあるがキャパシターへの充電期間tcがtc<toffとなるMode IIについて説明しました。それとともにリップル電圧についても説明しました。使った式は図形を説明するための1次式を主体にした簡易な式ですから式と波形を見比べてもらえば式の意味は容易に理解できたかと思います。

 今回は前回の考え方の続きとして負荷がさらに軽くなってチョーク電流が不連続になった時のリップル電圧の計算について説明します。
 ここで使用する記号と定義は前回と同じく次の通りです。

   tc:キャパシター充電時間   ton:コンバーター オン時間      toff:コンバーター オフ時間
   ILP:チョーク電流の最大値   L:チョークL1のインダクタンス値   IL:チョーク電流
   Iin:入力電流(DC)   Vcc:入力電圧   Vo:出力電圧
   Io:出力電流(DC)    Po:出力電力   RL:負荷抵抗

 上記に加えて不連続時の用語として次の用語も定義します。

   toff’:インダクタンスエネルギー放出時間   δ2:toff’が1周期に占める割合

電流不連続時のリップル電圧

 前回まではチョーク電流連続モードを前提として検討してきました。今回からはチョーク電流ILが1周期中に途切れるチョーク電流不連続モードの条件下でのリップル電圧について検討します。図1に示す波形を使って次の手順で求めていきます。

図1 図1:電流不連続時の各部電圧・電流波形

1)出力電圧Vo

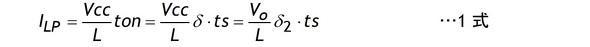
 電流不連続時のチョーク電流の起点、終点は0Aですからピーク値ILPはLの基本式の1式で計算できます。1式のδ2は先に定義したようにtoff’の時比率です。

式1

 1式からVccとVoはILPを使ってそれぞれ2式3式で表せます。

式23
       1|2|3|4 次のページへ

Copyright © ITmedia, Inc. All Rights Reserved.

特別協賛PR
スポンサーからのお知らせPR
Pickup ContentsPR
Special SitePR
あなたにおすすめの記事PR

RSSフィード

公式SNS

EDN 海外ネットワーク

All material on this site Copyright © ITmedia, Inc. All Rights Reserved.
This site contains articles under license from AspenCore LLC.