メディア

反転形DC/DCコンバーターの設計(7)チョーク電流不連続時のリップル電圧計算たった2つの式で始めるDC/DCコンバーターの設計(21)(2/4 ページ)

» 2025年09月30日 11時00分 公開

2)C1の充電電荷Q

 平滑キャパシターC1がチョークL1から充電される期間は図1から分かるように、toff’期間内でチョーク電流が出力電流Ioを上回っているtcの期間内(図1水色領域)のみです。tc以後の期間はチョークから電流が供給されてもキャパシターC1の放電を緩和するのみで充電には至りません。

 一方、出力電流Ioはtoff’時間(δ2×ts)中にチョークから放出される電流の1周期平均ですから式で表せば4式になります。

式4

注)チョーク電流ILはキャパシターC1を充電するとともにIoの供給源として働きます。ですから4式はキャパシター充電電流の平均値ではありません。

 そしてこのキャパシター充電電流はチョーク電流からIoを引いたものですからキャパシター充電電流のピーク値はILP−Io(=ΔIP)となり、このΔIP4式とILPを使って表すと5式になります。

式5

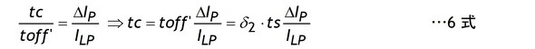
 チョーク電流ILとキャパシター充電電流の各波形は相似の三角形なのでtcは6式の比例則を使って求めることができます。

式6

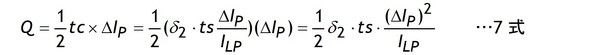
 充電電荷Qは図1の水色の三角形の面積(底辺×高さ÷2)であり6式のtcを使って次の7式で電荷Qを計算します。

式7

さらに、7式のΔIpに5式の結果を代入して整理すると8式を得ます。

式8

8式のILPはLの基本式や前述の3式から

式8B

です。このILP8式に代入して整理すると9式を得ます。

式9

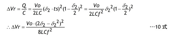
3)リップル電圧ΔVr

 Cの基本式からリップル電圧ΔVrはキャパシターC1の電荷変動ΔQと容量Cの比ですからリップル電圧ΔVrは10式で求められます。

式10

 10式のδ21式から次のように導かれるVcc・δ=Vo・δ2の関係(電圧時間積)を使って求めます。

式11

 なお10式の計算には出力電圧Voが入っているので計算に先立って12式を使ってVoを求めておく必要があります。この12式の導出については連載第18回 「反転形DC/DCコンバーターの設計(4)不連続モードの振る舞い」で説明しましたので詳しくはそちらを参照してください。

式12

 12式を展開すると13式に示すIo-Voの関係式を得ることができます。

式13

Copyright © ITmedia, Inc. All Rights Reserved.

特別協賛PR
スポンサーからのお知らせPR
Pickup ContentsPR
Special SitePR
あなたにおすすめの記事PR

RSSフィード

公式SNS

EDN 海外ネットワーク

All material on this site Copyright © ITmedia, Inc. All Rights Reserved.
This site contains articles under license from AspenCore LLC.