メディア

反転形DC/DCコンバーターの設計(7)チョーク電流不連続時のリップル電圧計算たった2つの式で始めるDC/DCコンバーターの設計(21)(4/4 ページ)

» 2025年09月30日 11時00分 公開
前のページへ 1|2|3|4       

出力電圧Voを一定にした場合のリップル電圧

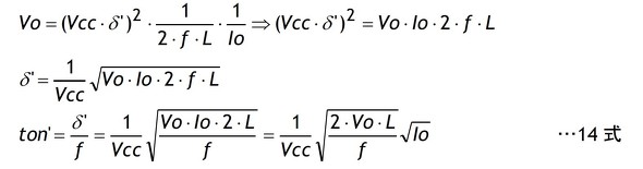
 実際の機器では定電圧制御を施してオン時間tonを負荷に応じて調整します。つまり電流不連続モードではtonは負荷に応じて変化するのでton一定の場合と区別するためにオン時間をton’、このオン時間の時比率をδ'とします。

 13式を変形してton’(=δ')を求めると14式のようになります。

式14

 この14式で求めたオン時間ton’(∝δ')、そして電圧時間積の11式から導かれるδ2を使って10式でリップル電圧を求めます。

図3 図3:リップル含有率(計算値)の変化[クリックで拡大]

 前述の10式13式を使って負荷電流を200mAから25mAまで25mAステップで減少させてリップル含有率を計算したグラフが図3(a)(b)です。
 図3(a)は前回までに説明したMode IからMode II、そして今回の電流不連続モードまでを含んで描画したものであり、図3(b)は電流不連続モードの領域を拡大したものです。
 グラフの縦軸は電流不連続モードでは出力電圧が変化するのでリップル電圧値そのものではMode I、IIと比較する意味が不明瞭になります。ですから図3では(a)(b)ともに出力電圧とリップル電圧の相対値(リップル含有率)で比較しています。

 図3(b)は電流不連続モードの領域のみを拡大したものですがtonを一定にした場合と、tonを制御して出力電圧を−5V一定にした場合の2種類のリップル含有率を示しています。
 この図から出力電圧を−5V一定に保った(赤線)場合はtoff’がton一定の場合より減少しますのでton固定(黒線)の場合よりリップル含有率が若干悪化します。ですが“悪化”といってもton固定のモードに対しての悪化です。チョーク電流不連続モード時のリップル電圧含有率は両者とも連続モード時より減少しているのでチョーク電流不連続モード時のリップル電圧は実機において問題になることはほとんどありません。

 今回は前回の考え方を拡張して反転型DC/DCコンバーターのチョーク電流不連続時のリップル電圧の求め方について説明しました。
 負荷電流対リップル含有率を電流連続モードから不連続域まで見てみると負荷電流に比例してリップル含有率(≒リップル電圧)は変動することが確認できました。

 今回で基本的なDC-DCコンバーター(降圧型、昇圧型、反転型)については一通りの説明はできたものと思います。次回は今回のシリーズで取り上げた各計算式を今後の設計で活用できるように使いやすい形にまとめていきます。


執筆者プロフィール

加藤 博二(かとう ひろじ)

1951年生まれ。1972年に松下電器産業(現パナソニック)に入社し、電子部品の市場品質担当を経た後、電源装置の開発・設計業務を担当。1979年からSPICEを独力で習得し、後日その経験を生かして、SPICE、有限要素法、熱流体解析ツールなどの数値解析ツールを活用した電源装置の設計手法の開発・導入に従事した。現在は、CAEコンサルタントSifoenのプロジェクト代表として、NPO法人「CAE懇話会」の解析塾のSPICEコースを担当するとともに、Webサイト「Sifoen」において、在職中の経験を基に、電子部品の構造とその使用方法、SPICE用モデルのモデリング手法、電源装置の設計手法、熱設計入門、有限要素法のキーポイントなどを、“分かって設計する”シリーズとして公開している。


⇒【連載「たった2つの式で始めるDC/DCコンバーターの設計」バックナンバー】

前のページへ 1|2|3|4       

Copyright © ITmedia, Inc. All Rights Reserved.

特別協賛PR
スポンサーからのお知らせPR
Pickup ContentsPR
Special SitePR
あなたにおすすめの記事PR

RSSフィード

公式SNS

EDN 海外ネットワーク

All material on this site Copyright © ITmedia, Inc. All Rights Reserved.
This site contains articles under license from AspenCore LLC.