メディア

ON/OFFコンバーターの制御不安定問題(2)図式解法の結果検証たった2つの式で始めるDC/DCコンバーターの設計(28)(2/3 ページ)

» 2026年04月23日 11時00分 公開

シミュレーションによる確認

 1式の計算結果をシミュレーションで確認します。設定条件は次の通りです。

 V=2.5   出力電圧5V   出力電流Io=0.1ADC(50Ω)

 昇圧比は2なのでδ=0.5、チョーク電流の平均値Io'=0.2A、周波数fは100kHzとします。
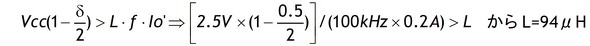
 左辺のVccを右辺に移項します。
 これらの値を1式に代入すると1式が成立するチョークの目安のインダクタンス値Lは、

式

となり、1式を満たすにはチョークインダクタンスLが94μH以下でなければなりません。例えばL=100μHであれば1式の具体的な値は

式

となり、1式が負となって不安定問題が発生することが分かります。したがってLが大きくなればこの式の値がますます負になるので異常現象は顕著に表れるようになります。
 ですが実際のコンバーターは基本特性として2次の応答特性を持っているのでこの値だけで現象の発生の有無を判定することはできません。インダクタンスの桁数や傾向を判断する目安にしてください。

 1式の結果を図1に示すSpiceでの評価回路による過渡応答解析で検証します。
 回路の動作としては電源Vtriで振幅0〜10Vの100kHz三角波V(TRI)を発生させ、電源Vconで5VDCの制御電圧V(CONT)を生成します。そして非線形電源B1で三角波V(TRI)と制御電圧V(CONT)を比較しPWM信号を得てFET-SW(S1)を動作させます。
 V(CONT)はδを制御するので折れ線波形で50ms経過後にδを50%→51%に変化させます(tr=100ns)。

図1 図1:δ変動の評価回路
図2 図2:応答波形全体図

 図2に昇圧用チョークのインダクタンス値Lを100μHと200μHとした時の出力電圧Voutのシミュレーション波形を示します。両条件ともδを50%→51%に増加させています。
 図2下段の出力電圧の両者の大きな振動は今回取り上げるハイ・ブースト要素の(1−S)特性によるものではなく、他励式のDC/DCコンバーターが持つ基本伝達関数の2次応答特性によるものです。
 (1−S)のハイ・ブースト特性の応答波形はδが変動したタイミングの瞬間に現れます。Voutの拡大図を次ページ図3に示します。

Copyright © ITmedia, Inc. All Rights Reserved.

特別協賛PR
スポンサーからのお知らせPR
Pickup ContentsPR
Special SitePR
あなたにおすすめの記事PR

RSSフィード

公式SNS

EDN 海外ネットワーク

All material on this site Copyright © ITmedia, Inc. All Rights Reserved.
This site contains articles under license from AspenCore LLC.