メディア

反転形DC/DCコンバーターの設計(3)主要半導体部品の要求仕様たった2つの式で始めるDC/DCコンバーターの設計(17)(2/3 ページ)

» 2025年05月29日 13時28分 公開

最小インダクタンス値LMIN

 チョークを用いたDC/DCコンバーターでは負荷電流によって各部の動作が異なってきます。その影響を計算するために図1にチョーク電流ILと平滑キャパシターの電流波形を示します。平滑キャパシターへの充電電流は図1から分かるようにチョーク電流ILから負荷電流Ioを引いた(平行移動)波形になっています。

 この計算で使用する記号は次の通りです。

   IL:チョーク電流      ILP:ILのピーク値       ILL:ILの最小値
   ILC:ILの中央値      Iin:入力電流DC値(ADC)   Io:出力電流DC値(ADC
   Vcc:入力電圧(VDC)   Vo:出力電圧(VDC)     C1:平滑キャパシター容量

図1:代表的な動作電流波形例

 図1の各部波形について振る舞いを考えると次の6項目が分かります。

①ton期間中、ILはΔI=(Vcc/L)×tonだけ増加します。
②toff期間中、ILはΔI=(Vo/L)×toffだけ減少します。
③toff期間中のILはダイオードを通じて台形波状の電流となって負荷と平滑キャパシターC1に流れます。このチョーク電流ILの中央値ILCはIo/(1−δ)です。
④ILをIo分だけ並行移動した電流波形がC1充電電流の波形(部)です。
⑤C1充電電流波形の充電電荷(部面積)は放電電荷(部面積)に等しくなります。
⑥toff終了時のILの状態(値)によって反転コンバーターは次の3つの動作状態に分かれます。
  (1)toff終了時のILがIo以上であれば全toff期間でC1が充電されるMode I
  (2)0A超、Io未満であればtc期間しか充電が行われないMode II
  (3)0A以下であれば電流不連続モード

 この条件から⑥の各値を計算します。
 最初にILの最小値ILLを計算します。

1式

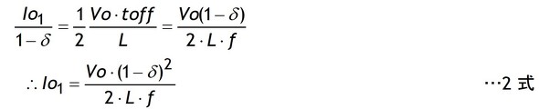
 1式のILLがIoになる負荷条件がMode IとIIの境界負荷電流値Io2であり、0Aになる条件がチョーク電流不連続モードになる臨界負荷電流値Io1です。まず電流不連続モードになる臨界負荷電流Io1を求めます。ILL=0ですから2式になります。

2式

 この2式

を代入するとVccとIo1の関係を表す3式になります。

3式

 当然ですがこの臨界電流Io1は最小出力電流Io(MIN)より小さくなければなりません。
 Io1を使って電流振幅ΔIを表すと次の4式になります。

4式

参考:臨界インダクタンス値
 チョーク電流ILが不連続になる臨界インダクタンスL(MIN)2式3式から逆算して求めます。

5式

 5式について詳しく説明しませんが臨界インダクタンスL(MIN)はVccが高いほど要求値が大きくなります。つまり同じL値であればVccが大きくなるほど不連続になりやすいことが分かります。
 一方、Vccが一定でVoが変化した場合、L(MIN)の要求値はVcc>|Vo|の範囲で|Vo|に比例して大きくなり、Vcc<|Vo|の範囲では減少することが分かります。

 次にMode I、IIの境界負荷電流値のIo2を求めます。手順はIo1と同様に1式においてIo=Io2とします。

 この結果と3式から6式を得ます。

6式

 6式からIo2はIo1をδで除したものであること、つまり2つの電流値(Io1、Io2)はδで結ばれていて、お互いに無関係ではないことが分かります。
 電流振幅ΔIをIo2で表す式は4式6式を代入した7式になりますがIo2は仕様書には現れず、出力仕様との関連が弱いので実設計では7式よりも出力仕様と関連が強い4式を主に用います。

7式

 このΔIはコアのΔBに直結しているので仕様を満たすからといってIo1を大きくとると思わぬチョークの温度上昇を招くのでチョークの温度で問題を生じた時はこのIo1を見直すのも1手法です。

計算例

 動作条件としてVo=−5V、Vcc=10V(δ=0.333)、L=55.5μH、f=100kHzを代入するとIo1、Io2として

が得られます。ですからIo=0.2〜0.6Aの範囲では平滑キャパシターC1の充電時間がtoff期間より短くなるMode IIになります。

Copyright © ITmedia, Inc. All Rights Reserved.

特別協賛PR
スポンサーからのお知らせPR
Pickup ContentsPR
Special SitePR
あなたにおすすめの記事PR

RSSフィード

公式SNS

EDN 海外ネットワーク

All material on this site Copyright © ITmedia, Inc. All Rights Reserved.
This site contains articles under license from AspenCore LLC.