メディア

反転形DC/DCコンバーターの設計(6)Mode IIとリップル電圧たった2つの式で始めるDC/DCコンバーターの設計(20)(2/2 ページ)

» 2025年08月27日 11時00分 公開
前のページへ 1|2       

リップル電圧ΔVr

 6式でtcが決まったので次に充電電荷Qを三角形の面積として求めます。充電はチョーク電流ILがILPからIoに低下するまでの図1中の水色三角形の領域(ΔIp×tc)で行われます。この電流の変化幅ΔIpはLの基本式

にtcを代入して求めます。

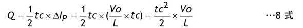
 充電電荷Qは図1の水色三角形の面積なので7式を基に次の8式で計算します。キャパシター電流はチョークL1の電流ILをIo分だけ並行移動させたものであり、電流変化幅はΔIpと同じです。

 リップル電圧ΔVrはQ/Cなのでリップル電圧ΔVrは9式になります。

 ここで

です。

 下記の周辺定数といくつかの代表的な負荷抵抗値を設定して理論値とLT-Spiceによるシミュレーション値を比較した結果を表1に示します。理論値とシミュレーション値がおおむね一致していることから9式でリップル電圧を計算できることが確認できました。

   L=55.5μH     C=100μF
   f=100kHz     δ=0.333
   Vo=5V       Vcc=10V

 ここでMode IIのリップル電圧を9式ではなく10式(Mode I用)で計算すると電流の減少に伴って値が小さく計算されて誤差が生じます(表1)。ですが誤差自体が小さいことに加えてMode IIではリップル電圧自体がMode Iより小さくなっているので問題になることはないでしょう。

表1:Mode I、IIのリップル電圧(ΔVr)比較

(注)
 このリップル電圧の計算式は平滑キャパシターの純C成分のみを用いて計算していますが、実際には回路図に現れない素子内部のESRやESL、そしてプリント基板の寄生インダクタンスLeが存在します。例えば平滑キャパシターに湿式アルミ電解コンデンサーを用いた場合にはESRが、そして固体キャパシターの場合にはESLがリップル電圧に影響を与えます。
 ですからコンバーターの設計に当たっては2式9式の差分を論ずる前にこれらESRやESL、Leをいかに減少させるかということに注力すべきでしょう。

 今回はチョーク電流連続という制約条件下でキャパシターへの充電期間tcがtc<toffとなるMode IIについて説明するとともにリップル電圧について説明しました。
 次回はチョーク電流不連続時のリップル電圧の計算について説明します。


執筆者プロフィール

加藤 博二(かとう ひろじ)

1951年生まれ。1972年に松下電器産業(現パナソニック)に入社し、電子部品の市場品質担当を経た後、電源装置の開発・設計業務を担当。1979年からSPICEを独力で習得し、後日その経験を生かして、SPICE、有限要素法、熱流体解析ツールなどの数値解析ツールを活用した電源装置の設計手法の開発・導入に従事した。現在は、CAEコンサルタントSifoenのプロジェクト代表として、NPO法人「CAE懇話会」の解析塾のSPICEコースを担当するとともに、Webサイト「Sifoen」において、在職中の経験を基に、電子部品の構造とその使用方法、SPICE用モデルのモデリング手法、電源装置の設計手法、熱設計入門、有限要素法のキーポイントなどを、“分かって設計する”シリーズとして公開している。


⇒【連載「たった2つの式で始めるDC/DCコンバーターの設計」バックナンバー】

前のページへ 1|2       

Copyright © ITmedia, Inc. All Rights Reserved.

特別協賛PR
スポンサーからのお知らせPR
Pickup ContentsPR
Special SitePR
あなたにおすすめの記事PR

RSSフィード

公式SNS

EDN 海外ネットワーク

All material on this site Copyright © ITmedia, Inc. All Rights Reserved.
This site contains articles under license from AspenCore LLC.