メディア

反転形DC/DCコンバーターの設計(2)部品の定格たった2つの式で始めるDC/DCコンバーターの設計(16)(2/5 ページ)

» 2025年04月25日 11時00分 公開

IdPのVCC依存性

 台形波状になっているFETの電流IdPはどの入力条件で最大値になるのでしょうか? 台形波を「矩形波+三角波」と考えた場合、矩形波と三角波の比率はどのように変わっていくのでしょうか?

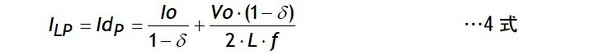
 定常的なFETのドレイン電流のピークIdPを次のように考えます。最初に3式のILPを安定化制御されたVo、Ioを使って4式で表します。

4式

 ただし4式にはチョーク電流連続モード時に限るという制約条件が付いています。この「電流連続モード」が成立するためには一定値以上の負荷電流Ioが必要になり、この下限の電流値をIo1とします。
 このIo1は別稿で説明しますが5式で求められます。

5式

 この5式4式に代入して整理したものが6式です。5式6式から同じ入出力条件でもL×fによってIo1を通じてIdPは変化することが分かります。

6式

 前述の4式をδで微分してIdPの増減の様子を調べると電流連続モード(Io>Io1)の範囲では4式のIdPはδの増加とともに単調的に増加していくことが分かります。VCCとδは負の相関関係なのでIdPを求める時はVCC(MIN)、Io(MAX)の条件で測定しなければなりません。このIo(MAX)には過電流保護回路動作時の最大値を含みます。

※参考までに4式の微分結果を7式に示します。

7式

 7式から電流連続モード(Io>Io1)の範囲では7式は正なので、IdPは単調増加であることが分かります。

IdMの計算、測定

 ノイズ抑制のためにFET-SWのドレインーソース間にCRスナバー回路を付加した場合、2式のIdM7式で計算されるピーク電流に達する時もあるので、後に続く整流ダイオードD1の寄生容量CAKも計算に含めなければなりません(R2はCRスナバー回路の抵抗値)。
 しかし、このCAKは電圧依存の非直線性特性を持つので計算に取り込むことは困難です。一般には8式を使ってIdMを概略計算した後に仮の品番のFETを用いて実測し、その値から周辺定数を調整します。

8式

Copyright © ITmedia, Inc. All Rights Reserved.

特別協賛PR
スポンサーからのお知らせPR
Pickup ContentsPR
Special SitePR
あなたにおすすめの記事PR

RSSフィード

公式SNS

EDN 海外ネットワーク

All material on this site Copyright © ITmedia, Inc. All Rights Reserved.
This site contains articles under license from AspenCore LLC.