メディア

反転形DC/DCコンバーターの設計(2)部品の定格たった2つの式で始めるDC/DCコンバーターの設計(16)(5/5 ページ)

» 2025年04月25日 11時00分 公開
前のページへ 1|2|3|4|5       

PFの近似

 以下の計算ではダイオードDの通電率をδDとします。
 温度の予測で重要になってくるのがダイオードの損失PFです。いろいろなδDについて損失曲線が記載されていれば近いδD値から損失を推定できますがDC電流の損失曲線しか記載されていない場合もあります。その場合には図5のDC時の損失曲線を切片0の2次曲線で近似した15式のVF0、Rsを求めて損失PFを近似的に計算します。この15式はVF−IF曲線を折れ線近似した考え方から導かれます。

15式

  VF0:順方向降下電圧の基準値 (1次項係数)
  I(AV):平均ダイオード電流
  Rs:等価直列抵抗(2次項係数)
  δD:ダイオードの通電時比率

 図5の例ではδ(δD)=1の場合にVF0=0.30、Rs=0.01が得られています。
 これらの値と15式から表1の値が得られています。図5と比較してみてください。

  I(AV)=6A I(AV)=10A I(AV)=14A
δD=1.0 2.16W 4.0W 6.2W
δD=0.5 2.52W 5.0W 8.1W
δD=0.2 3.60W 8.0W 14.0W
δD=0.1 5.40W 13.0W ――
表1:損失曲線の計算例

IFSM:最大サージ電流と呼称し、単発の50Hz、60Hzの半波正弦波形状で流せる最大電流です。
 反転形DC/DCコンバーターではδによる過電流制御が可能なのでソフトスタート回路があれば起動時に過大電流が流れることはありません。ですが短絡時には回路が応答するまでの期間、過大電流が流れます。この時の判断に次のI2t値と併せて判断に用いられます。

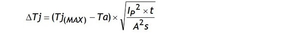
A2s値:電流二乗時間積と呼ばれる保証値です。前述のIFSMより短い時間幅のサージ電流に適用し、時間tとその時間内に流せる半波正弦波電流のピーク値IPの二乗で算出します。使用に当たってはA2s>IP2tで判断します。計算上ではIFSMより短い時間では時間幅tを短くすると許容値はどんどん大きくなりますが電流集中のダメージを考慮して1msを下限とする部品がほとんどです。前述の保護回路の応答遅れなどの場合ではIFSM値よりもIP2t値の方で判断する事例が多くなります。

 A2sをIP2tの保証値、tを過電流の持続時間、IPを実測の順方向のピーク電流値とした時、ダイオードのジャンクションの過渡温度上昇ΔTjは、

式C

で推定します。この式で計算したジャンクション温度(Ta+ΔTj)は実測が困難なので計算誤差を10%見込んでTj(MAX)の70%を超えないようにします。

このようにFET-SWの損失P(FET)とダイオードの損失PFを求めて、9式から温度上昇を計算します。FETとダイオードを同一のヒートシンクに装着するのであれば損失は合算します。

9式2

 発生した損失Pと許容されるチップの温度上昇からヒートシンクの熱抵抗Rth(H)の最大値が決まります。このチップの温度は半導体素子のはんだの温度を左右し、はんだの故障率や信頼性に影響します。
 この観点からはんだ温度は90℃以下に抑えたいのでリードや端子部の温度は90℃とします。機器内の最高温度を50℃とすれば許される温度上昇は40℃以内にしなければなりません。つまり40/P(℃/W〜以下の熱抵抗を持つヒートシンクを使用することになります(厳密にはRth(J-C)を含む)。

※近年ではソリッド化した1つの部品としてのDC/DCコンバーターを購入し、回路に配置することもあるかと思います。ですがその場合でも損失(熱)は発生しますのでこのような放熱設計は必要になります。

図6 図6:反転形DC/DCコンバーターの電流図

 今回は反転形DC/DCコンバーターの主要部品について要求仕様について検討しました。ディレーティングの考え方は降圧形と同じですが、動作原理の違いから要求仕様については微妙に異なってくるので注意してください。チョークの要求特性は次回に説明します。


執筆者プロフィール

加藤 博二(かとう ひろじ)

1951年生まれ。1972年に松下電器産業(現パナソニック)に入社し、電子部品の市場品質担当を経た後、電源装置の開発・設計業務を担当。1979年からSPICEを独力で習得し、後日その経験を生かして、SPICE、有限要素法、熱流体解析ツールなどの数値解析ツールを活用した電源装置の設計手法の開発・導入に従事した。現在は、CAEコンサルタントSifoenのプロジェクト代表として、NPO法人「CAE懇話会」の解析塾のSPICEコースを担当するとともに、Webサイト「Sifoen」において、在職中の経験を基に、電子部品の構造とその使用方法、SPICE用モデルのモデリング手法、電源装置の設計手法、熱設計入門、有限要素法のキーポイントなどを、“分かって設計する”シリーズとして公開している。


⇒【連載「たった2つの式で始めるDC/DCコンバーターの設計」バックナンバー】

前のページへ 1|2|3|4|5       

Copyright © ITmedia, Inc. All Rights Reserved.

特別協賛PR
スポンサーからのお知らせPR
Pickup ContentsPR
Special SitePR
あなたにおすすめの記事PR

RSSフィード

公式SNS

EDN 海外ネットワーク

All material on this site Copyright © ITmedia, Inc. All Rights Reserved.
This site contains articles under license from AspenCore LLC.