メディア

サブハーモニック発振(1)発振のメカニズムたった2つの式で始めるDC/DCコンバーターの設計(25)(3/3 ページ)

» 2026年01月29日 11時00分 公開
前のページへ 1|2|3       

サブハーモニック発振のメカニズム

 次にサブハーモニック発振が発生するメカニズムについて考えます。ここからは主に波形を1次の直線と比例計算で表して説明しますので式や説明文を図とよく見比べてください。

図3 図3:電流変動の様子とtoff完了時の詳細[クリックで拡大]

①最初に何らかの外乱でスタート時に図3(a)に示す+ΔIの微小変動があったと仮定します。外乱とは回路からのノイズや負荷の高周波微小変動などです。この時、電流の傾斜は変化しないので図3(a)の実線(変動前)と破線(変動後)のton電流波形は並行になり、ΔIの変動によるtonの変動(Δt)は同図の比例関係から1式で決まります。

式1

②ton時間がΔt変動したことによる1サイクル終了時の電流変動ΔI'は図3(b)の三角形から求められます(toff期間の電流傾斜も変化せずΔtだけ並行移動します)。

 toff期間において1式と「破線の傾斜=実線の傾斜」を組み合わせると2式が成り立ちます。

式2

 このΔI'が発生するためにはtoff終了時に電流が流れている電流連続モードでなければなりません。電流不連続モードではtoff終了時に電流変動が0AにリセットされるのでΔI'が発生しません。

③最初のスタート時は+変化であったものが次のサイクルではー変化となってスタートするので変動が交互に繰り返されます。この時ΔI'<ΔIであれば電流波形は+/ーの変動を交互に繰り返しながらも次第に減衰して安定していくのですがΔI'>ΔIの場合は振動は成長して図2に示すように1サイクルごとに波形が異なる波形で安定します。

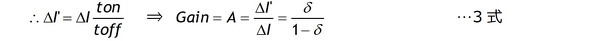
④初期電流変動ΔIと1周期終了時の電流変動ΔI'のループゲインを2式に基づいて計算します。

式3

 3式から通電時比率δ=0.5でループゲインが1になります。つまりδ>0.5でループゲインが1を超えるので、この場合にはton開始時の電流の変動ΔIは+−交互に順次大きくなって引例波形や図2の波形のように1サイクル毎に変化する波形で安定します。図式的にはこの現象はδが0.5を超えるとtoff時の電流傾斜がton時よりもきつくなるので同じ時間変動Δtに対して電流変化が大きくなると言い換えられます。
 ただし1サイクルごとに波形が変動しても電流制御方式ですからピーク電流は変化しません。そのためこの現象で直ちにコンバーターがASOオーバーで破壊することはありません。ですが、各部電流の実効値が増加することによってスイッチング損失などのジュール損が増加したり、リップル電圧に1/2周波数成分が発生したりするのでコンバーターの信頼性や動作波形としては好ましいものではありません。

 今回は連載7回目で後日の説明を約束していたサブハーモニック発振の発生原理について説明をしました。
 その中でton開始時の微小電流変化+ΔIがtoff終了時に−ΔI'となって返ってくることおよび、時比率δが0.5を超えるとtoff時のチョーク電流の傾斜がきつくなり|−ΔI'|が|+ΔI|より大きくなって交互に振動が成長してしまい、1周期ごとにtonが異なる波形になることについて説明しました。
 次回はそのようなサブハーモニック発振の発生を防止する対策について説明をしていきたいと思います。


執筆者プロフィール

加藤 博二(かとう ひろじ)

1951年生まれ。1972年に松下電器産業(現パナソニック)に入社し、電子部品の市場品質担当を経た後、電源装置の開発・設計業務を担当。1979年からSPICEを独力で習得し、後日その経験を生かして、SPICE、有限要素法、熱流体解析ツールなどの数値解析ツールを活用した電源装置の設計手法の開発・導入に従事した。現在は、CAEコンサルタントSifoenのプロジェクト代表として、NPO法人「CAE懇話会」の解析塾のSPICEコースを担当するとともに、Webサイト「Sifoen」において、在職中の経験を基に、電子部品の構造とその使用方法、SPICE用モデルのモデリング手法、電源装置の設計手法、熱設計入門、有限要素法のキーポイントなどを、“分かって設計する”シリーズとして公開している。


⇒【連載「たった2つの式で始めるDC/DCコンバーターの設計」バックナンバー】

前のページへ 1|2|3       

Copyright © ITmedia, Inc. All Rights Reserved.

特別協賛PR
スポンサーからのお知らせPR
Pickup ContentsPR
Special SitePR
あなたにおすすめの記事PR

RSSフィード

公式SNS

EDN 海外ネットワーク

All material on this site Copyright © ITmedia, Inc. All Rights Reserved.
This site contains articles under license from AspenCore LLC.