メディア

反転形DC/DCコンバーターの設計(4)不連続モードの振る舞いたった2つの式で始めるDC/DCコンバーターの設計(18)(3/3 ページ)

» 2025年06月27日 11時00分 公開
前のページへ 1|2|3       

不連続モードでの負荷抵抗依存性の計算例

 条件:Vcc=10V、Vout=−5V、f=100kHz、ton=3.33μs、L=55.5μHでは臨界電流IoMINは0.2Aです。
 負荷抵抗RLに換算すると25Ωですからこの値からRLを増加させ出力電圧の変化を調べます。

図2:不連続モードでの出力特性

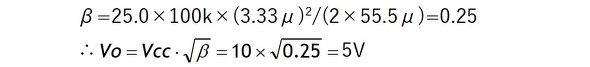
※25Ω(臨界)の場合

式25ΩA

    から

式25ΩB

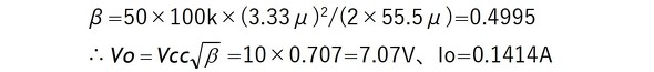
※RL=50Ω(不連続)の場合

式50ΩA

    から

式50ΩB

 このようにして求めた計算値とLT-Spiceでのシミュレーション結果を図2に示します。両者は良好な一致を見せており計算が正しいと分かります。

 今回はリップル電圧の図式解法を説明する予定でしたが説明の流れから先に不連続モードの振る舞いについて説明しました。
 説明の中でチョーク電流が不連続になる軽負荷モード時、あるいは負荷が切り離された時には出力電圧が危険電圧に達することがあること、そのため出力電圧を確実に抑制できる保護回路が必要になることは電源装置の設計において忘れることができない重要な設計管理点です。

 次回は連続モードのMode I、Mode II のリップル電圧の計算について説明します。


執筆者プロフィール

加藤 博二(かとう ひろじ)

1951年生まれ。1972年に松下電器産業(現パナソニック)に入社し、電子部品の市場品質担当を経た後、電源装置の開発・設計業務を担当。1979年からSPICEを独力で習得し、後日その経験を生かして、SPICE、有限要素法、熱流体解析ツールなどの数値解析ツールを活用した電源装置の設計手法の開発・導入に従事した。現在は、CAEコンサルタントSifoenのプロジェクト代表として、NPO法人「CAE懇話会」の解析塾のSPICEコースを担当するとともに、Webサイト「Sifoen」において、在職中の経験を基に、電子部品の構造とその使用方法、SPICE用モデルのモデリング手法、電源装置の設計手法、熱設計入門、有限要素法のキーポイントなどを、“分かって設計する”シリーズとして公開している。


⇒【連載「たった2つの式で始めるDC/DCコンバーターの設計」バックナンバー】

前のページへ 1|2|3       

Copyright © ITmedia, Inc. All Rights Reserved.

特別協賛PR
スポンサーからのお知らせPR
Pickup ContentsPR
Special SitePR
あなたにおすすめの記事PR

RSSフィード

公式SNS

EDN 海外ネットワーク

All material on this site Copyright © ITmedia, Inc. All Rights Reserved.
This site contains articles under license from AspenCore LLC.